• Предмет: Математика
  • Автор: palmin24
  • Вопрос задан 2 года назад

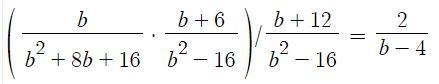
Докажите тождество
Уже час сижу и ничего не выходит

Приложения:

Ответы

Ответ дал: mmb1
0

а это не тождество

можно сутки просидеть и не решить

( b / (b²+8b + 16) * (b+6)/(b² - 16)) / (b+12)/(b² - 16) = b/(b + 4)² * (b+6)/(b² - 16) * (b² - 16)/(b+12) = b*(b+6)/((b+4)²(b+12) это никак не равно 2/(b-4)

Вас заинтересует