Ответы
Ответ дал:
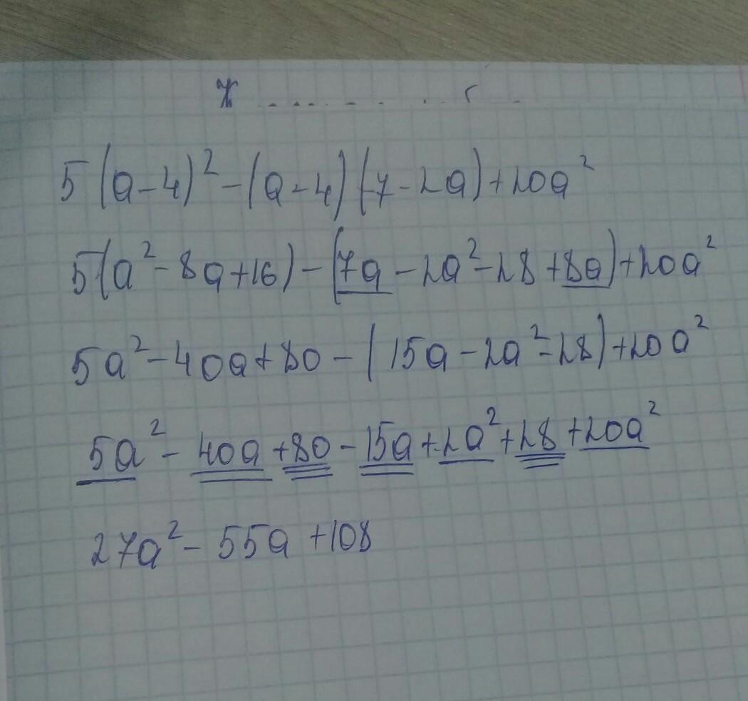
1
Ответ:
Вот, если цифры не понятны, пиши, объясню)
Приложения:

jessicaiconic:
Спасибо ♥️
Вас заинтересует
1 год назад
2 года назад
3 года назад
3 года назад
8 лет назад