• Предмет: Алгебра
  • Автор: ПолинаLove15
  • Вопрос задан 2 года назад

Запишите в виде обыкновенной дроби:

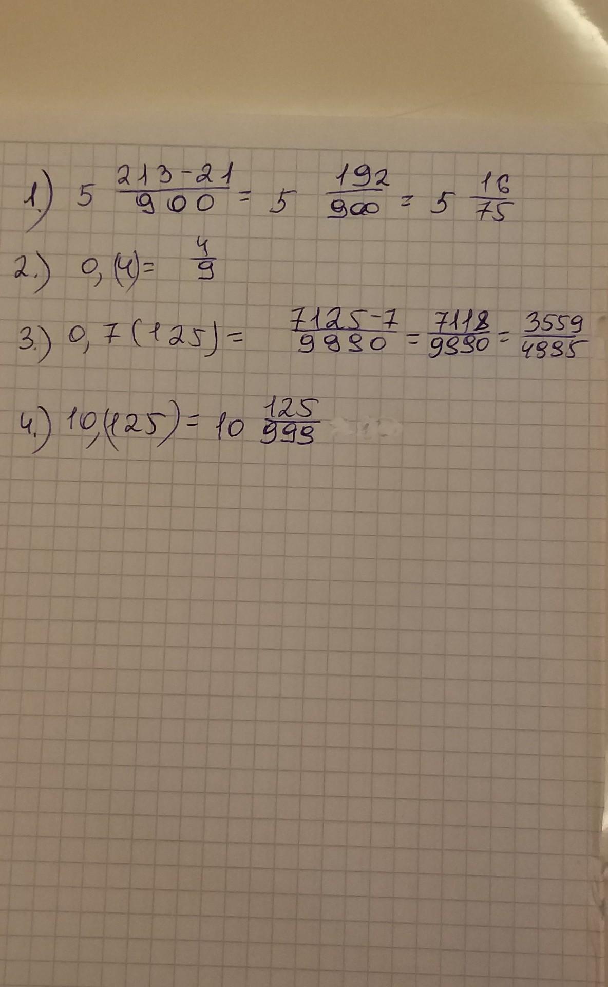
1) 5,21(3)
2) 0,(4)
3) 0,7(125)
4) 10,(125)
(желательно на листочке с фото, хочу проверить правильно ли решила)


RozeSun: а как фоткать и отправить

Ответы

Ответ дал: drakerton
4

Ответ:

1) 5,21(3) = 5\frac{213-21}{900} = 5\frac{192}{900} = 5\frac{16}{75}

2) 0,(4) = \frac{4}{9}

3) 0,7(125) = \frac{7125-7}{9990} = \frac{7118}{9990}

4) 10,(125) = 10\frac{125}{999}

Удачи!


ПолинаLove15: спасибо. можете объяснить почему где-то 900, 999, а где-то 9990?
drakerton: https://geleot.ru/education/math/arithmetic/rational_numbers/periodic_to_fraction
drakerton: там объясняется очень доступно
ПолинаLove15: благодарю!
Ответ дал: RozeSun
1

Объяснение:

я сделала сама ))) удачи

Приложения:

ПолинаLove15: спасибо. можете объяснить почему где-то 900, а где-то 9990?
ПолинаLove15: еще 999
RozeSun: да такое правило
Вас заинтересует