• Предмет: Математика
  • Автор: LSM54
  • Вопрос задан 2 года назад

Решите уравнение, пожалуйста

Приложения:

Ответы

Ответ дал: alin271
1

Ответ:

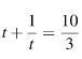
x1 =  \frac{1}{3}  \\ x2 = 3

Пошаговое объяснение:

 \frac{3 {t}^{2}  + 3 - 10t}{3t}  = 0 \\ 3t <  > 0 \\ 3 {t}^{2}  + 3 - 10t = 0 \\ 3 {t}^{2}  - 10t + 3 = 0 \\ d =  { - 10}^{2}  - 4 \times 3 \times 3 = 100 - 36 = 64 \\  \sqrt{d}  = 8 \\ x1 =  \frac{10 - 8}{6}  =  \frac{1}{3}  \\ x2 =  \frac{10 + 8}{6}  = 3

Вас заинтересует