Ответы
Ответ дал:
1
Ответ:
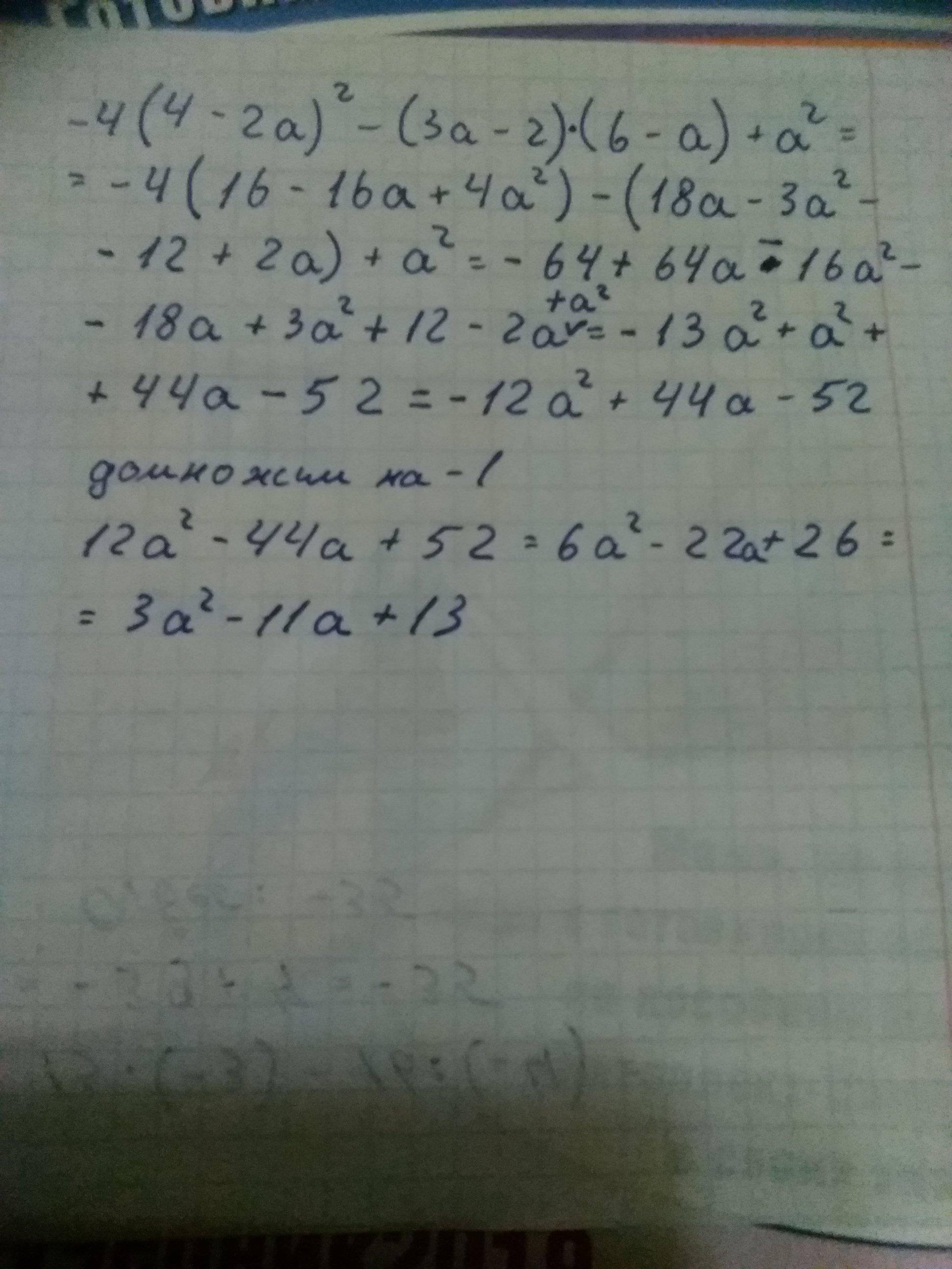
Если задание было упростить, то вот решение
Объяснение:
Приложения:

jessicaiconic:
Спасибо большое ♥️
Вас заинтересует
2 года назад
3 года назад
3 года назад
8 лет назад