Помогите решить пожалуйста. Очень буду благодарна, да у меня очень плохо с математикой и нету денег и времени на репетитора.
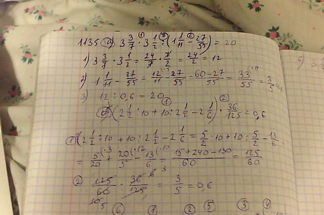
Задание - 1135 а б в
Приложения:

Ответы
Ответ дал:
0
вот я сам решил эту заданию ваш ответ.
Приложения:



tasysevo205:
Спасибо большое, но так как я в 6 классе мы ещё не изучали такое как "0,6", и если вам не сложно могли бы вы перевести в дробь. Ещё раз спасибо за ваше старание
Ответ дал:
0
Смотри уроки в интернете это бесплатно и чаще понятнее чем на уроке
Вас заинтересует
1 год назад
2 года назад
3 года назад
8 лет назад