• Предмет: Алгебра
  • Автор: copshot55
  • Вопрос задан 2 года назад

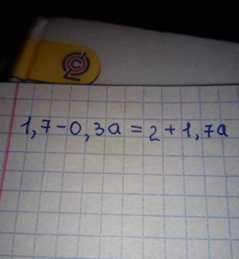
Ребят, помогите решить задание на фотке. Это алгебра 7 класс.​

Приложения:

Ответы

Ответ дал: nazarbilets
0

Ответ:

-3/20 (дробь)

Объяснение:

1,7-0,3a = 2 + 1,7a

Переводим 1,7a в левую часть и 1,7 в правую

-0,3a-1,7a = 2 + (-1,7)

Обчисливаем левую и правую часть:

-2a = 0,3

-a = 0,3 : 2

-a = 3/10 (дробь) * 1/2

-a = 3/20

a = -3/20

Ответ дал: MsGalina2019
1

Ответ:

Объяснение:

это решить уравнение

-0,3а-1,7а=2-1,7

-2а=0,3

-а=0,3/2

-а=0,15

а=-0,15

проверка 1,7-0,3*(-0,15)=2+1,7*(-0,15)

                 1,7+0,045=2-0,255

                    1,745=1,745


copshot55: а не слишком большое число вышло?
MsGalina2019: -0,15 это большое число?
copshot55: ой, я не туда посмотрел сории,
Вас заинтересует