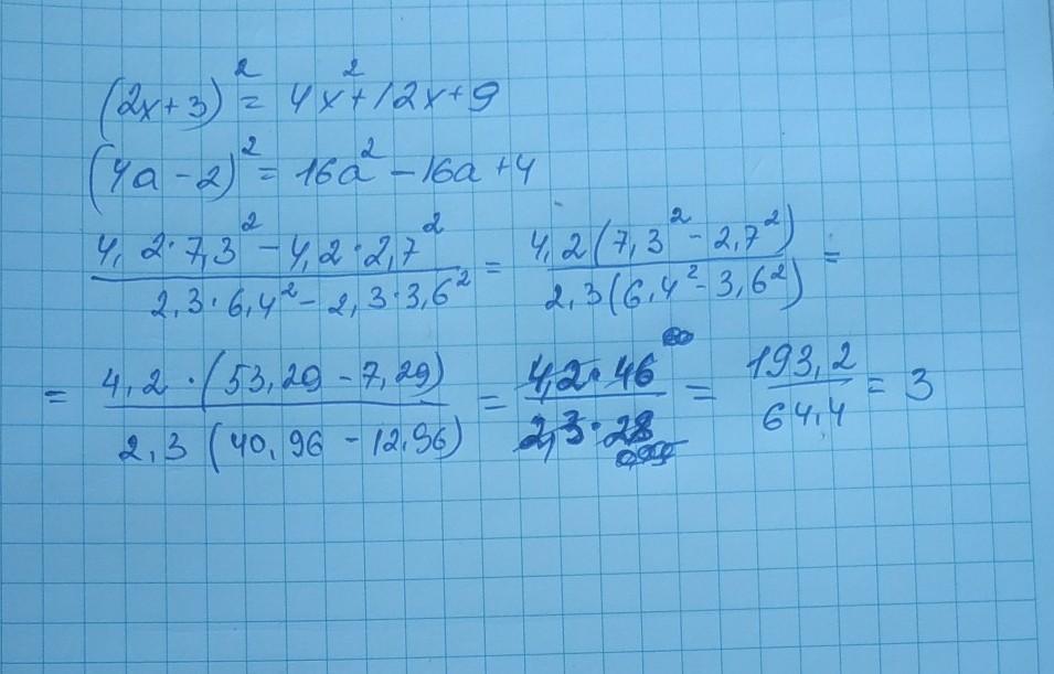
Помогите пожалуйста решить (2x+3)^2 = . 2) (4a-2)^2= 3) 4,2*7,3^2-4,2 *2,7^2/2,3*6,4^2-2,3*3,6^2 =. хоть что -то ,только пожалуйста все распишите, если можете ,то на листике пожалуйста
Ответы
Ответ дал:
1
Объяснение:
решение сможете посмотреть во вложении
Приложения:

Вас заинтересует
1 год назад
2 года назад
2 года назад
3 года назад
8 лет назад
8 лет назад