• Предмет: Математика
  • Автор: olesya12356
  • Вопрос задан 2 года назад

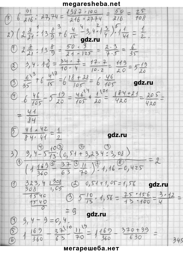
помогите я поставлен везде сердечки ​

Приложения:

Ответы

Ответ дал: neyklyshiiii
0

Давай авторов книги и объясню

Приложения:

olesya12356: Г. П. Муравин, К. С. Муравин,О.В.Муравина
neyklyshiiii: Класс какой?
olesya12356: 8.
neyklyshiiii: Держи
olesya12356: первая не грузит (
olesya12356: может ещё переотпрвишь
olesya12356: ты ваще такой прикольный цне могу бы решить ещё два примера
neyklyshiiii: https://ru-static.z-dn.net/files/dd5/3a6d6439d715c5faf9173ccfb3aae451.jpg
Вас заинтересует