Ответы
Ответ дал:
1
Уверен, можно как-то проще сделать
Приложения:

Alina76318:
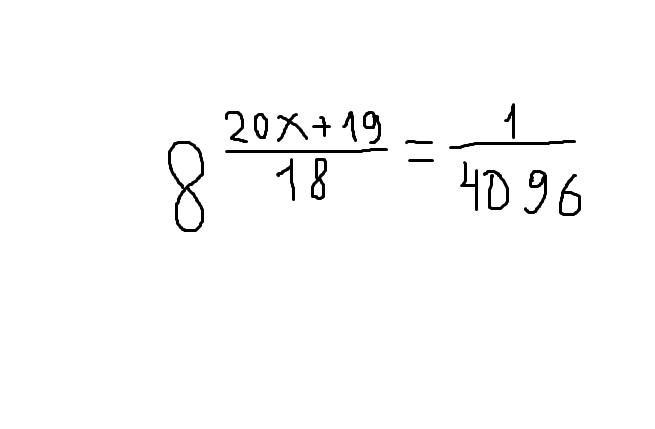
Эта дробь стоит в степени у 8
Вас заинтересует
1 год назад
1 год назад
2 года назад
2 года назад
3 года назад