• Предмет: Алгебра
  • Автор: эльзака
  • Вопрос задан 2 года назад

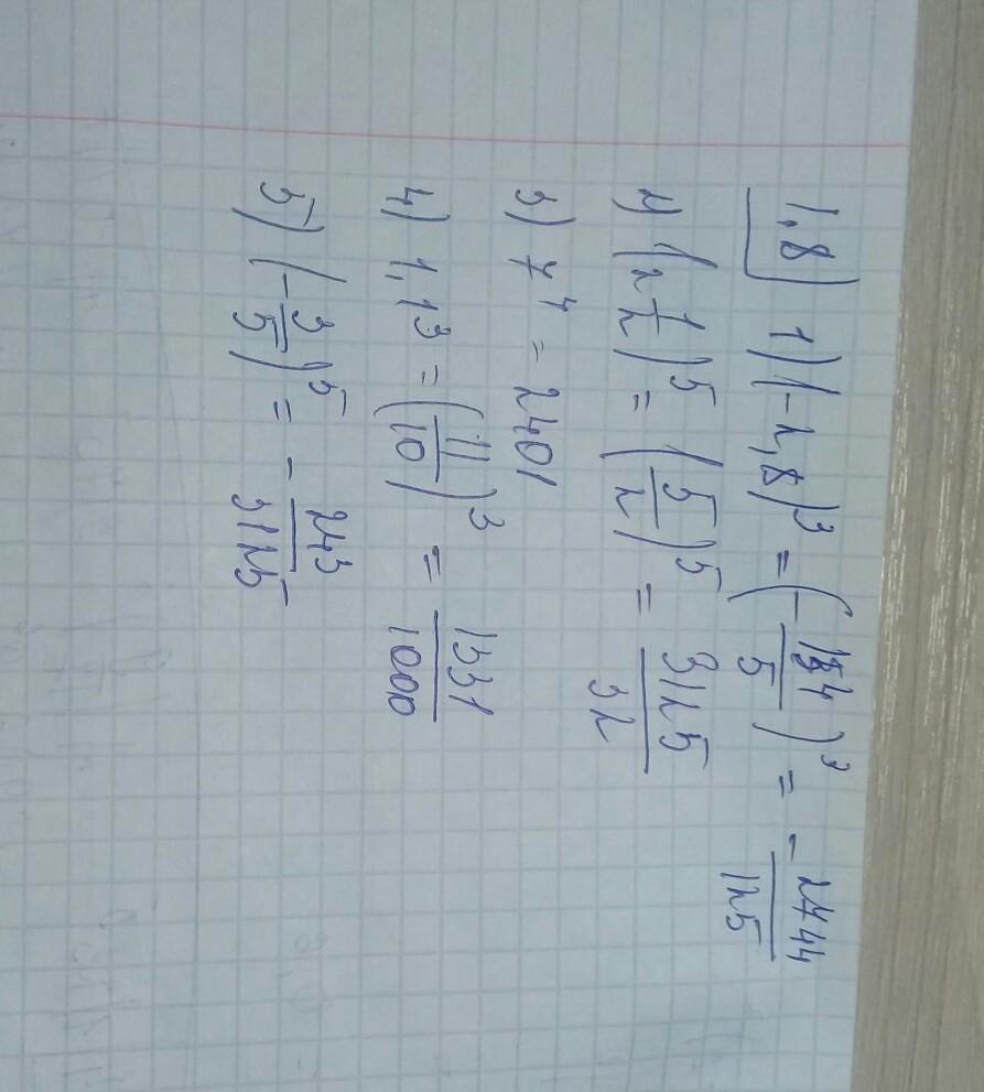
1.4 1.5(1,2) 1.8 30 баллов

Приложения:

Ответы

Ответ дал: dolis16
2

Объяснение:

Если цифры не понятны, пиши, объясню)

Приложения:

эльзака: Лучшый(Ая),держи 30 баллов
Вас заинтересует