• Предмет: Алгебра
  • Автор: Rrrich
  • Вопрос задан 2 года назад

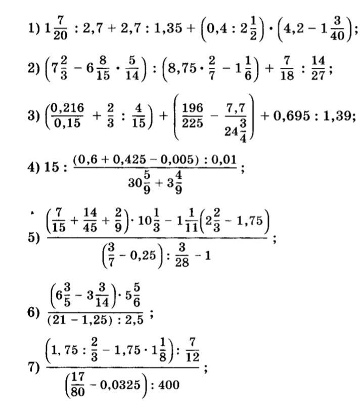
Помогите плиз)
Нужно полное решение

Приложения:

Ответы

Ответ дал: sofidmsermailru
0

Ответ:

1. 6/7

2.6/7

3.78

4.7/12

5.7/9

6.9

7.5/6

Вас заинтересует