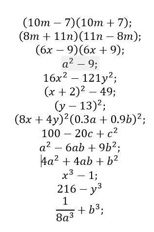
100-20c+c во второй степени ( 9-ый пример сверху)
Приложения:

VоЛk:
Что сделать?
Ответы
Ответ дал:
3
Відповідь:
100-20c+c²
10²-2*10-с+с²
(10-с)²
Вас заинтересует
1 год назад
1 год назад
2 года назад
3 года назад
3 года назад
8 лет назад