• Предмет: Математика
  • Автор: qqqqaq
  • Вопрос задан 2 года назад

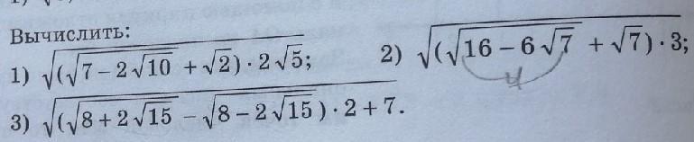
Помогите решить второй и третий пример, пожалуйста всё подробно распишите

Приложения:

Ответы

Ответ дал: Xtoto69
0
Смотреть фото, всё расписано!
Приложения:
Вас заинтересует