• Предмет: Математика
  • Автор: Аноним
  • Вопрос задан 2 года назад

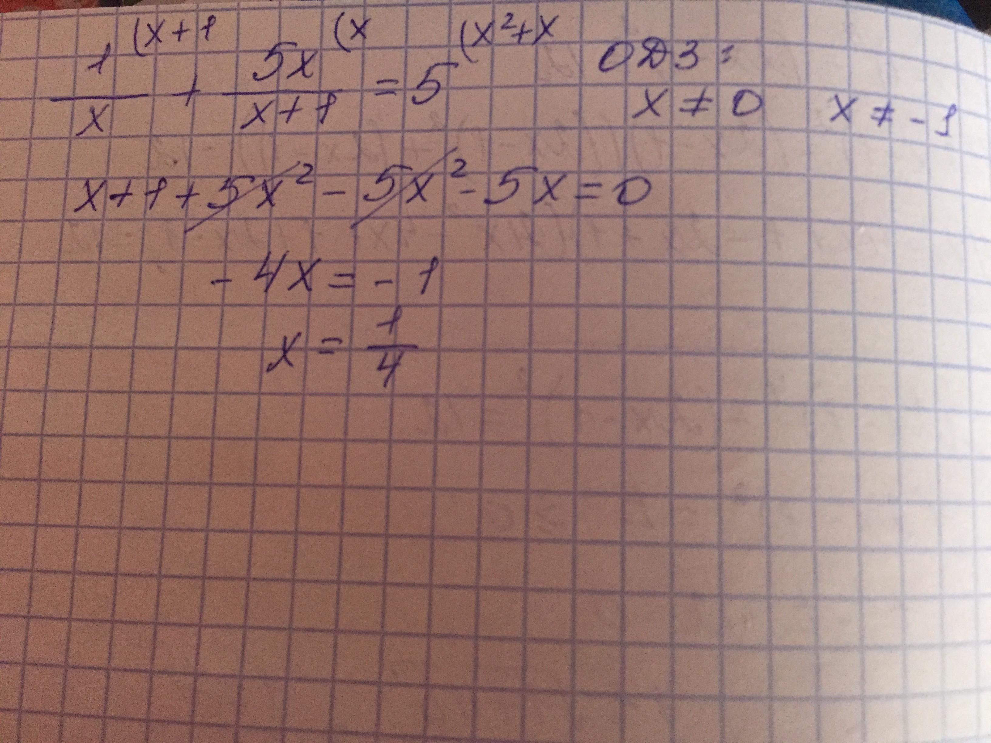
Пожалуйста помогите решить уравнение, было бы замечательно если вы решите на бумаге

Приложения:

Ответы

Ответ дал: natalyabryukhova
0

Ответ:

====================

Пошаговое объяснение:

Приложения:

Аноним: Что значит ОДЗ ???
natalyabryukhova: ))) Область допустимых значений)
Аноним: Ааа
Аноним: Спасибо
Вас заинтересует