Ответы
Ответ дал:
7
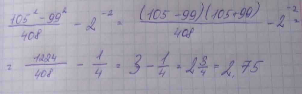
Советую запомнить формулу "разность квадратов двух выражений равна произведению разности этих выражений на их сумму":
А так же, запомните формулу:
Приложения:

Вас заинтересует
1 год назад
1 год назад
2 года назад
3 года назад
8 лет назад