Ответы
Ответ дал:
2
Ответ:
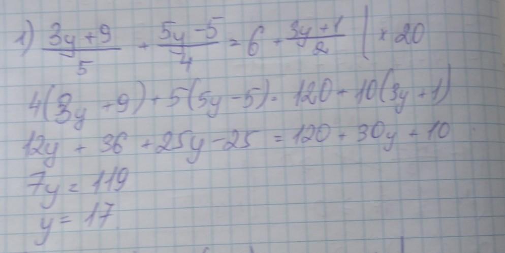
17
Пошаговое объяснение:
0.4 1)
Остальные буду пробовать сейчас
Приложения:

Вас заинтересует
1 год назад
1 год назад
2 года назад
2 года назад
3 года назад
3 года назад
8 лет назад