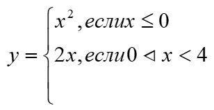
Разработать алгоритм решения уравнений:
Приложения:
mixonix:
какой язык ?
вводит x с клавиатуры или случайное число?
Ответы
Ответ дал:
0
Ответ:
паскаль
1)var x,y :integer;
begin
readln(x);
if x<=0 then begin
y:=x*x;
writeln(y);
end else if x<4 then begin
y:=2*x;
writeln(y);
end else writeln('значение x не удовлетворяет условию');
end.
2)var a,b,y :integer;
begin
readln(a);
readln(b);
if a=1 then begin
y:=a+b;
end else
y:=a-b;
writeln(y);
end.
Вас заинтересует
2 года назад
2 года назад
2 года назад
2 года назад
3 года назад