• Предмет: Алгебра
  • Автор: schwalzerinj
  • Вопрос задан 2 года назад

Найдите значение выражения:

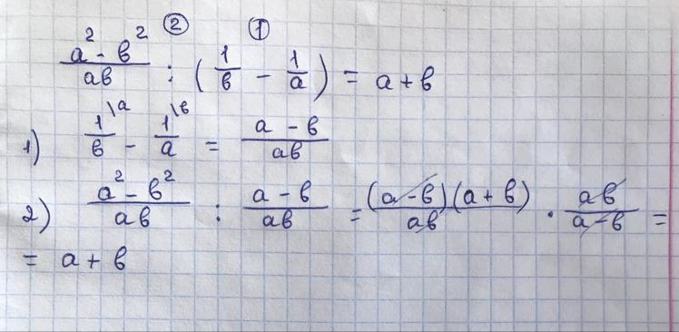
\frac{a^{2} - b^{2} }{ab}  : (\frac{1}{b} - \frac{1}{a} )

Ответы

Ответ дал: ginger004
0
:):):):):):)::):):)::):):):):):):):):
Приложения:
Ответ дал: osage
0
1) Выполняем действие в скобках, приводим к общему знаменателю
2) Выполняем деление, раскрываем формулу разности квадратов и деление заменяем умножением, не забывая перевернуть вторую дробь
Приложения:
Вас заинтересует