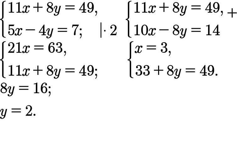
За 11 зошитів і 8 ручок заплатили 49 грн. Скільки коштує 1 зошит і 1 ручка, якщо 5 зошитів дорожчі за 4 ручки на 7 грн. Вирішіть за допомогою системи лінійних рівнянь
Ответы
Ответ дал:
81
Нехай зошит коштує х грн, ручка - у грн. За умовою складаємо систему. Розв'язавши її, отримуємо, що х = 3 грн - ціна одного зошита, у = 2 грн - ціна однієї ручки
Приложения:

Вас заинтересует
2 года назад
2 года назад
3 года назад
8 лет назад