Ответы
Ответ дал:
1
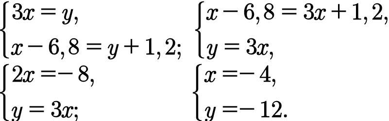
Ну как делать? Системой, ясное дело.
Пусть первое число равно х, второе - у. Имеем систему, решая которую получаем, что искомые числа - -4 и -12.
Приложения:

DenUnity:
Спасибо помог!!!
Ответ дал:
1
Обозначим меньшее число через x , тогда большее число 3x .
Если из большего вычтем 6,8 , а к меньшему прибавим 1,2 , то получим одинаковые результаты .
3x - 6,8 = x + 1,2
3x - x = 1,2 + 6,8
2x = 8
x = 4 - меньшее число
3 * 4 = 12 - большее число
Ответ : 4 и 12
Вас заинтересует
1 год назад
2 года назад
2 года назад
3 года назад
3 года назад
8 лет назад
8 лет назад