• Предмет: Алгебра
  • Автор: agressorsa
  • Вопрос задан 2 года назад

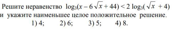
Решите пожалуйста.............................

Приложения:

Ответы

Ответ дал: Medved23
0

Ответ: 5

Объяснение:

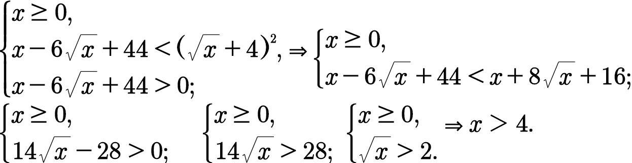
Основание логарифма больше единицы, поэтому данное неравенство равносильно системе ниже. Сразу отмечу, что третью строку системы удовлетворяют все х є R, поэтому ее можно опустить. Поскольку х > 4, наименьшее целое решение неравенства - число 5.

Приложения:
Вас заинтересует