• Предмет: Алгебра
  • Автор: malchik66699
  • Вопрос задан 2 года назад

Можно пожалуйста подробно!!!
Лодка за 2 часа движения по течению реки и 5 часов против течения реки проплыла 120км. За 7 часов против течения она проплыла на 52 км. больше, чем за 3 часа по течению. Найдите скорость движения лодки по течению и против течения.

Ответы

Ответ дал: Medved23
3

Ответ: по течению - 20 км/ч, против течения - 16 км/час.

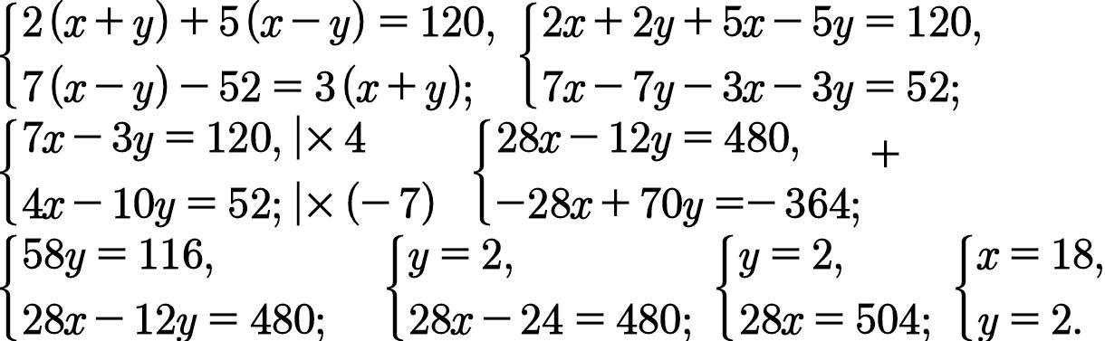
Объяснение: пусть х - собст. скорость лодки, у - скорость течения. За 2 часа по течению лодка пройдет 2(х + у) км, а за 5 часов против течения - 5(х - у) км. Так как вместе она проплыла 120 км, имеем первое уравнение: 2(х+у) + 5(х - у) = 120.

За 7 часов против течения лодка проплыла 7(х - у) км, за 3 часа по течению - 3(х + у) км. Так как 7(х - у) больше чем 3(х + у) на 52, имеем второе уравнение: 7(х - у) - 52 = 3(х + у).

Объединяем оба уравнения в систему (см. ниже). Решая ее, получаем: х = 18 - собст. ск. л., у = 2 - ск. теч. реки. Тогда скорость по течению реки равна 18 + 2 = 20(км/ч), а против течения - 18 - 2 = 16(км/ч).

Приложения:

malchik66699: благодарю
Вас заинтересует