Ответы
                                            Ответ дал: 
                                                                                    
                                        
                                            
                                                
                                                
                                                
                                                    0
                                                
                                            
                                        
                                    Первыми действиями выполняем умножение, а потом вычитаем то, что у нас получилось с двух сторон.
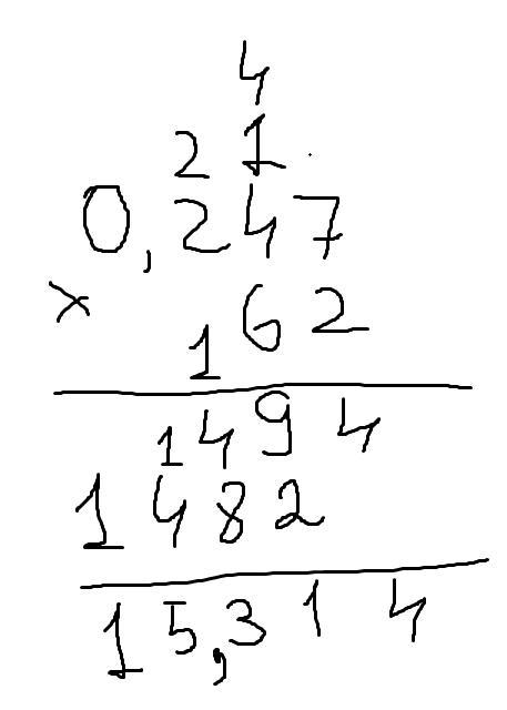
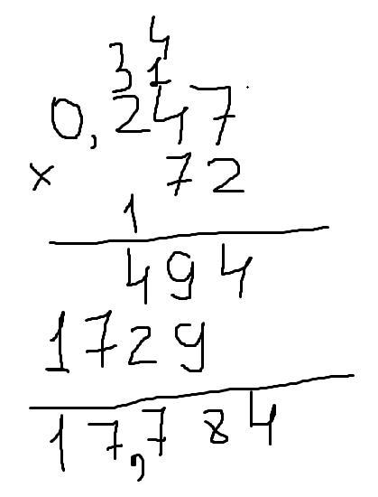
Для того, чтобы умножить десятичную дробь на натуральное число в столбик, нужно умножить их, не обращая внимания на запятые. А далее в результате отделить запятой справа столько чисел, сколько чисел после запятой в десятичной дроби, на которую мы умножали натуральное число.
1) 0,247 * 72 = 17,784
2) 0,247 * 62 = 15,314
При вычитании или сложении двух десятичных дробей, нужно их записать так, чтобы запятая одной дроби была под запятой другой. Далее в результате запятая ставится под этими двумя запятыми, так скажем.
3) 17,784 - 15,314 = 2,47
На прикреплённых рисунках все действия выполнены в столбик.
Приложения:
                    
                            
                            
                            Вас заинтересует
                
                        1 год назад
                    
                
                        1 год назад
                    
                
                        2 года назад
                    
                
                        2 года назад
                    
                
                        8 лет назад