• Предмет: Алгебра
  • Автор: zeniakuk
  • Вопрос задан 2 года назад

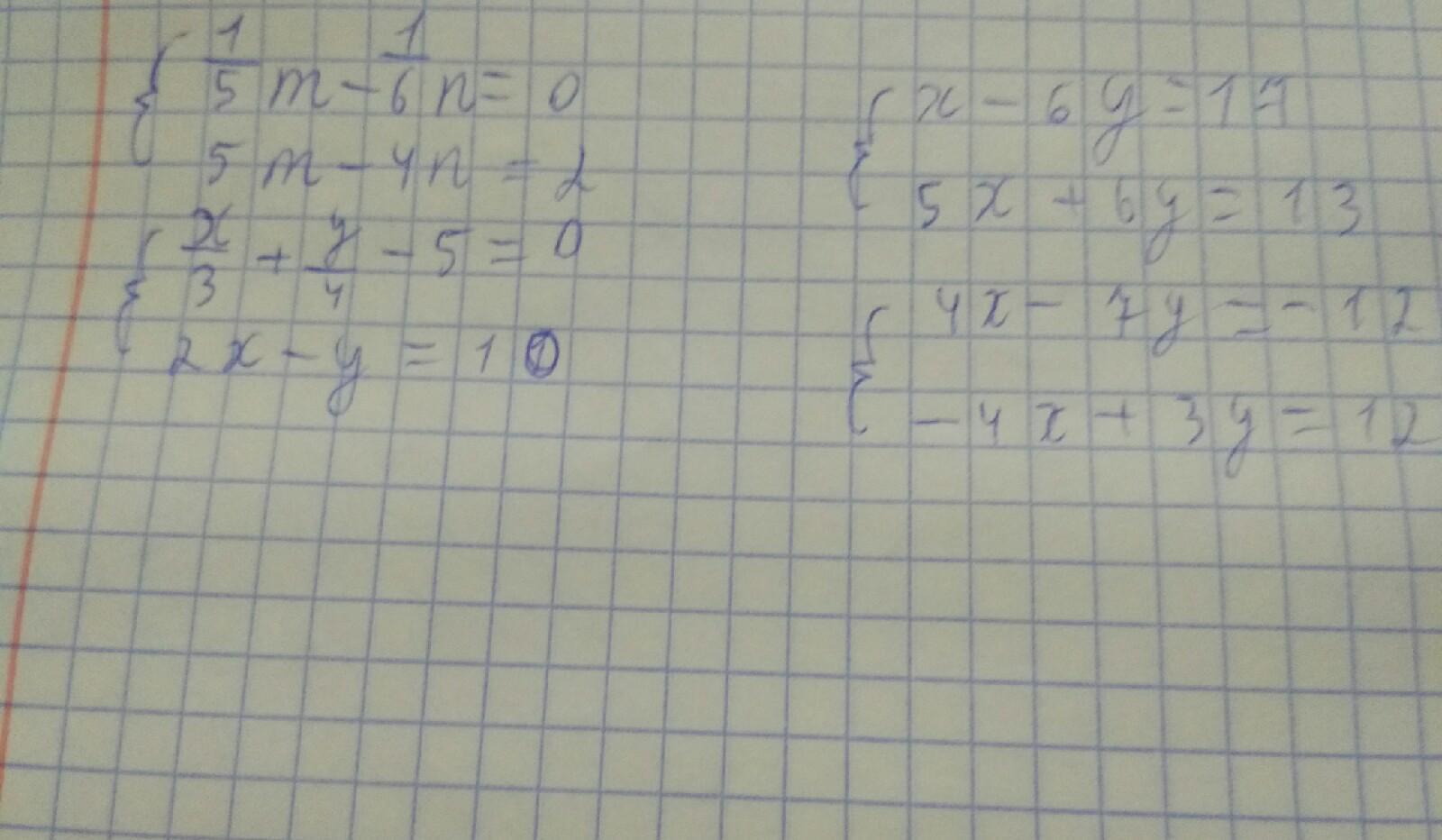
решить уравнения по алгебре

Приложения:

Ответы

Ответ дал: yutronchik264
0

прости, ложусь спать, первую не успею(

Приложения:
Вас заинтересует