• Предмет: Информатика
  • Автор: sernagaew228
  • Вопрос задан 2 года назад

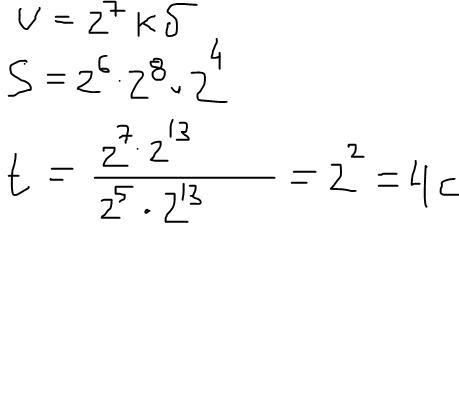
Средняя скорость передачи данных по некоторому каналу связи равна 128Кбит/с. Определите время в секундах необходимое для передачи документа состоящего из 64 страниц, каждая страница содержит 256 символов, а информационный вес одного символа равен 2 байтам.

Ответы

Ответ дал: vlajong
2

Ответ:

4 секунды

чтоб найти время нам надо обьем документа приведенный к битам поделить на скорость которую тоже привили к битам получили выражение решили получили 4

Приложения:
Вас заинтересует