• Предмет: Математика
  • Автор: olgashi9
  • Вопрос задан 2 года назад

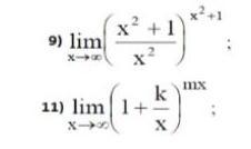
найдите пределы срочно! 25 баллов. спасибо.

Приложения:

Ответы

Ответ дал: zzhash
0

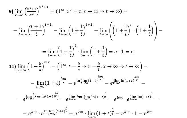
В приложении классические подходы к решению этих пределов без Лопиталя.

Приложения:
Вас заинтересует