• Предмет: Алгебра
  • Автор: maksat136
  • Вопрос задан 2 года назад

Решите уравнения
под номером пять ​

Приложения:

Ответы

Ответ дал: Livingperson
2

-x2+3x-12=-4x

-x2+3x-12+4x=0

-x2+7x-12=0

Дискриминант: 7 в квадрате - 4×(-1)×(-12)= 49-48=1

x1=(-7+1):(-2)=3

x2=(-7-1):(-2)=4

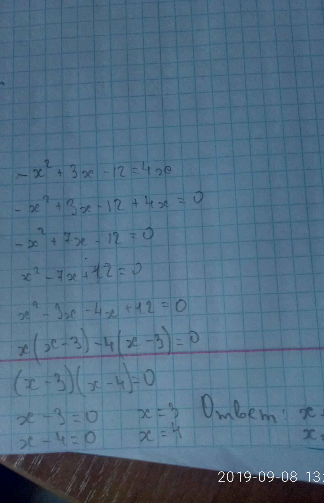
Ответ дал: foxford21
1

Ответ:

-x2 + 3x - 12 = 4x

-x2 + 3x - 12 + 4x = 0

-x2 + 7x - 12 = 0

x2 - 7x + 12 = 0

x2 - 3x - 4x + 12 = 0

x(x-3) - 4(x-3) = 0

(x-3)(x-4) = 0

x - 3 = 0

x - 4 = 0

x = 3

x = 4

Объяснение:

Ответ : x1 = 3

x2 = 4

Приложения:
Вас заинтересует