• Предмет: Алгебра
  • Автор: usett
  • Вопрос задан 2 года назад

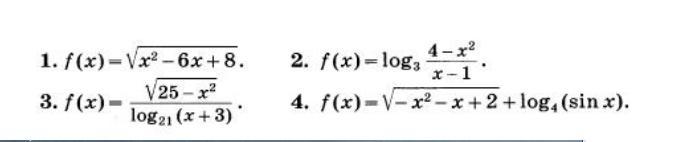
Найдите D (f) - область определения функции (1-4):

Приложения:

Ответы

Ответ дал: Аноним
3

Решение  и ответ во вложении

Приложения:
Вас заинтересует