Ответы
Ответ дал:
1
Ответ:
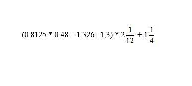
там в конце не влезло, думаю сами решите
Приложения:

Вас заинтересует
1 год назад
1 год назад
2 года назад
3 года назад
8 лет назад