• Предмет: Алгебра
  • Автор: koval88888
  • Вопрос задан 2 года назад

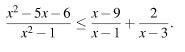
помогите решить неравенство ...

Приложения:

Ответы

Ответ дал: moy2002food
1

Ответ:удачи в учебах

Объяснение:

Приложения:
Вас заинтересует