• Предмет: Алгебра
  • Автор: Mихаил
  • Вопрос задан 2 года назад

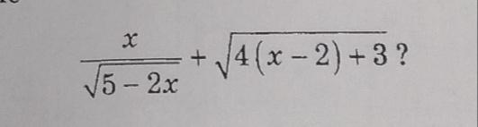
Про каких значениях x имеет смысл выражение
Алгебра 9 класс

Приложения:

Ответы

Ответ дал: severusss98
0

Ответ:

х принадлежит промежутку (1,25 ; 2,5)

Объяснение:

√5-2х > 0

5-2х > 0

-2х > -5

х < 2,5

√4(х-2)+3 > 0

4(х-2)+3 > 0

4х -5 > 0

4х > 5

х > 1,25

Вас заинтересует