• Предмет: Алгебра
  • Автор: koval88888
  • Вопрос задан 2 года назад

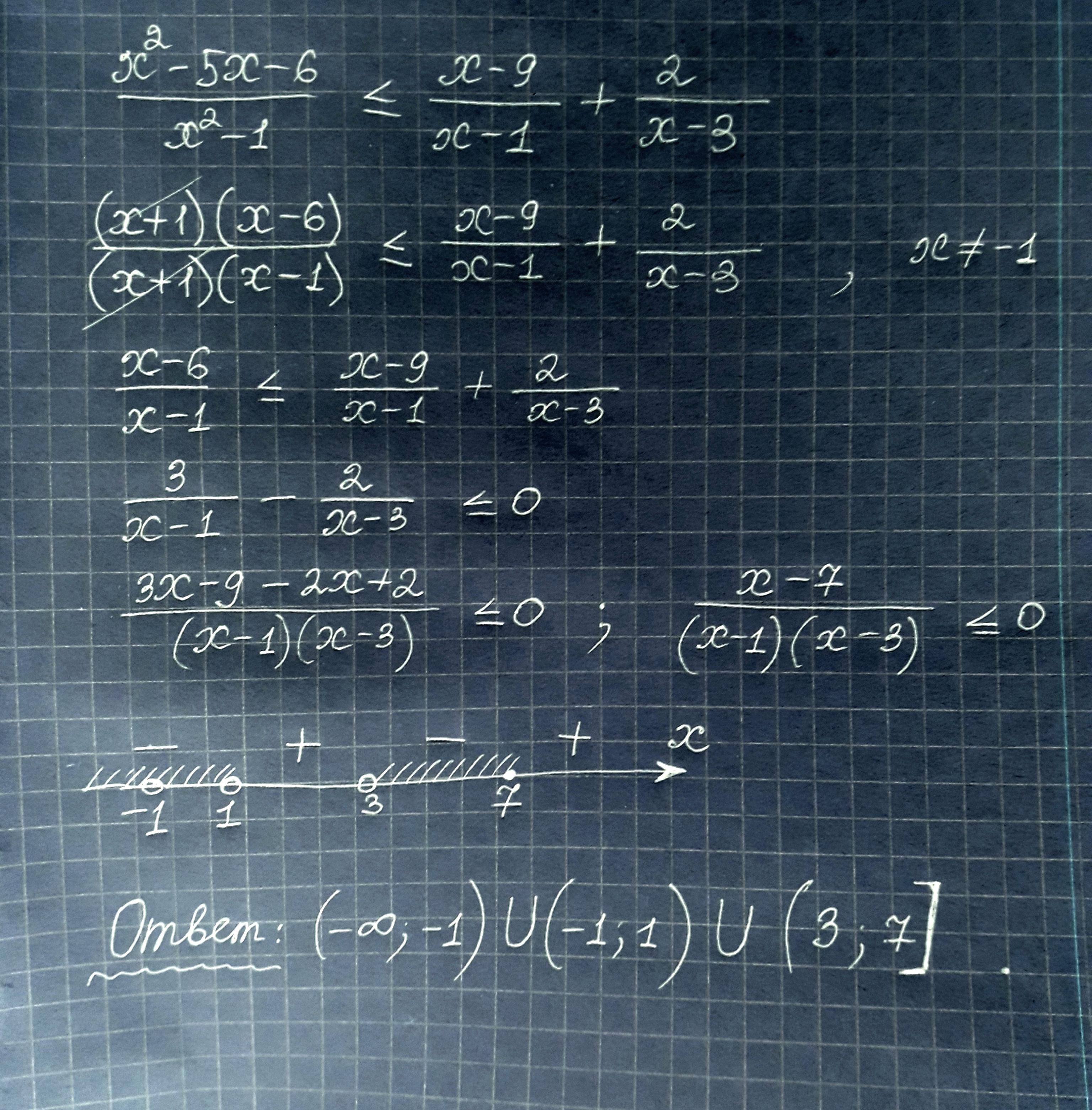
помогите решить неравенство

Приложения:

Ответы

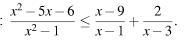
Ответ дал: Mihail001192
1

Решение приложено

===========================================================

Приложения:
Вас заинтересует