Ответы
Ответ дал:
6
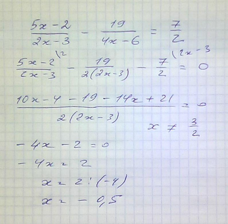
= решение = решение = решение = решение = решение =
Приложения:

Вас заинтересует
1 год назад
1 год назад
2 года назад
2 года назад
3 года назад