• Предмет: Алгебра
  • Автор: mcashulka2000
  • Вопрос задан 2 года назад

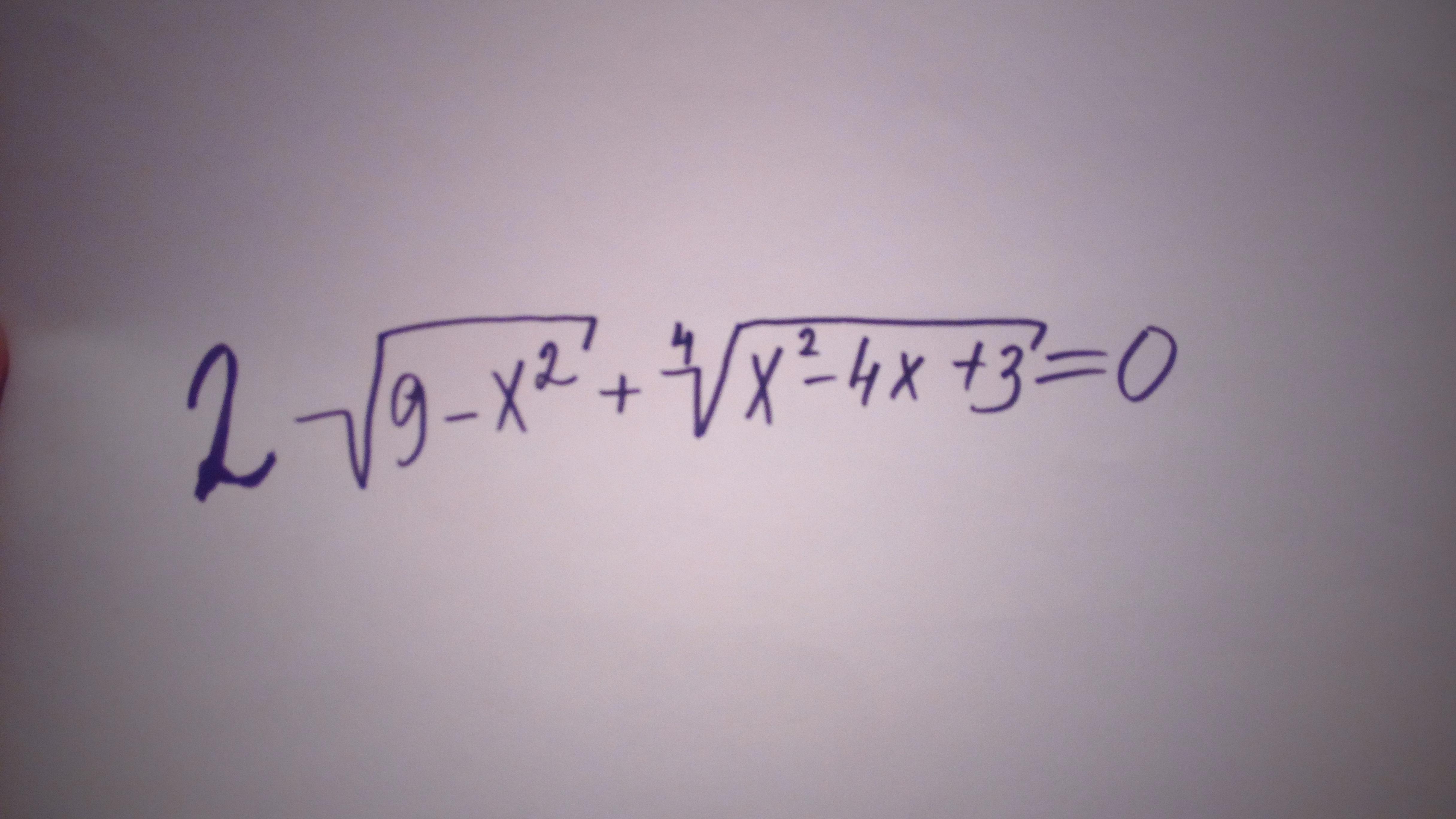
Помогите решит срочно.Уравнение на фото

Приложения:

Ответы

Ответ дал: dnepr1
0

Чтобы в сумме был 0, одно из слагаемых должно быть отрицательным (чего при  корнях чётных степеней не может быть), то они должны быть равны 0.

Для этого подкоренные выражения должны равняться 0.

9 - х² = 0, х = +-3.

х² - 4х + 3 = 0.  Д = 16 - 4*3 = 4. х1 = (4 - 2)/2 = 1, х2 = (4 + 2)/2 = 3.

Это значение совпадает с первым корнем, поэтому ответ: х = 3.

Вас заинтересует