• Предмет: Физика
  • Автор: liutik54
  • Вопрос задан 2 года назад

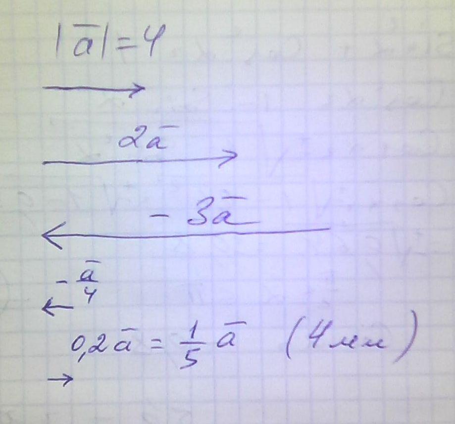
Помогите плиз очень нужно я не понимаю как сделать.Мне очень нужно на завтра.

Приложения:

Ответы

Ответ дал: Аноним
1

= решение = решение = решение = решение = решение =

Приложения:

Sadika15c: Можете пожалуйста помогите по физике у меня там вопрос и мне нужен чертёж....
Sadika15c: Пожаалуйста
Вас заинтересует