• Предмет: Физика
  • Автор: VovasiKKK
  • Вопрос задан 2 года назад

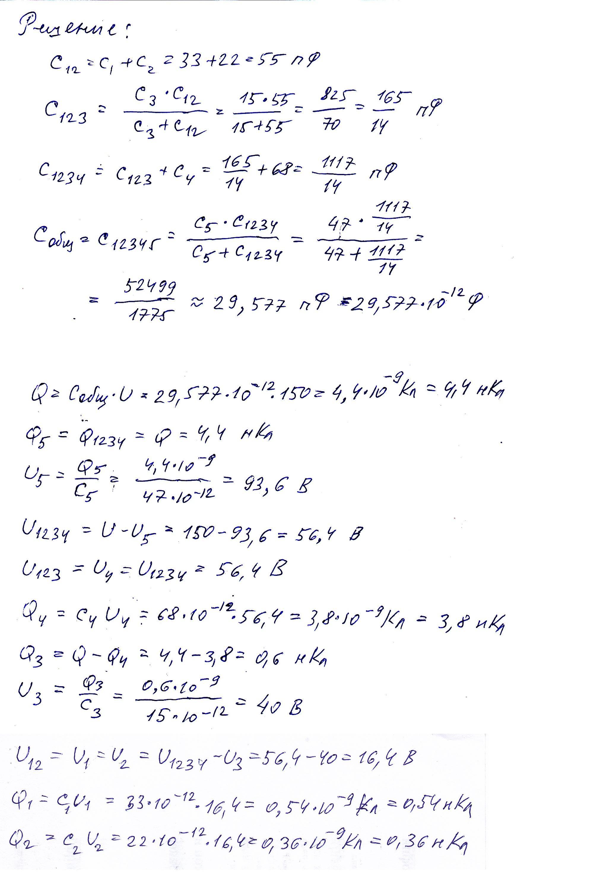
Решите задачу с конденсаторами​

Приложения:

Ответы

Ответ дал: serpol02
0

Ответ:

решение на листочке

Объяснение:

Приложения:
Вас заинтересует