• Предмет: Математика
  • Автор: uliaaq
  • Вопрос задан 2 года назад

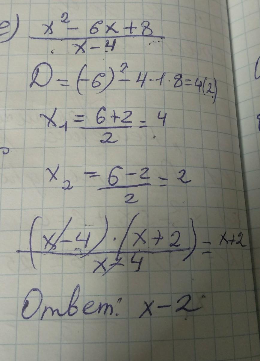
объясните пример, пожалуйста

Приложения:

Ответы

Ответ дал: prettylittlewitch
1

Пошаговое объяснение:

а я не понял почему у тебя в ответе x-2 если должно быть x+2


znatok6774: ты дурак так и должно быть
prettylittlewitch: мне 65 лет ты не имеешь права обзывать меня
NNNLLL54: а в примере неправильно разложили квадратный трёхчлен на множители, в числителе должно быть (х-4)(х-2) , а не (х-4)(х+2) ....
Вас заинтересует