• Предмет: Математика
  • Автор: sunzvezdochka
  • Вопрос задан 2 года назад

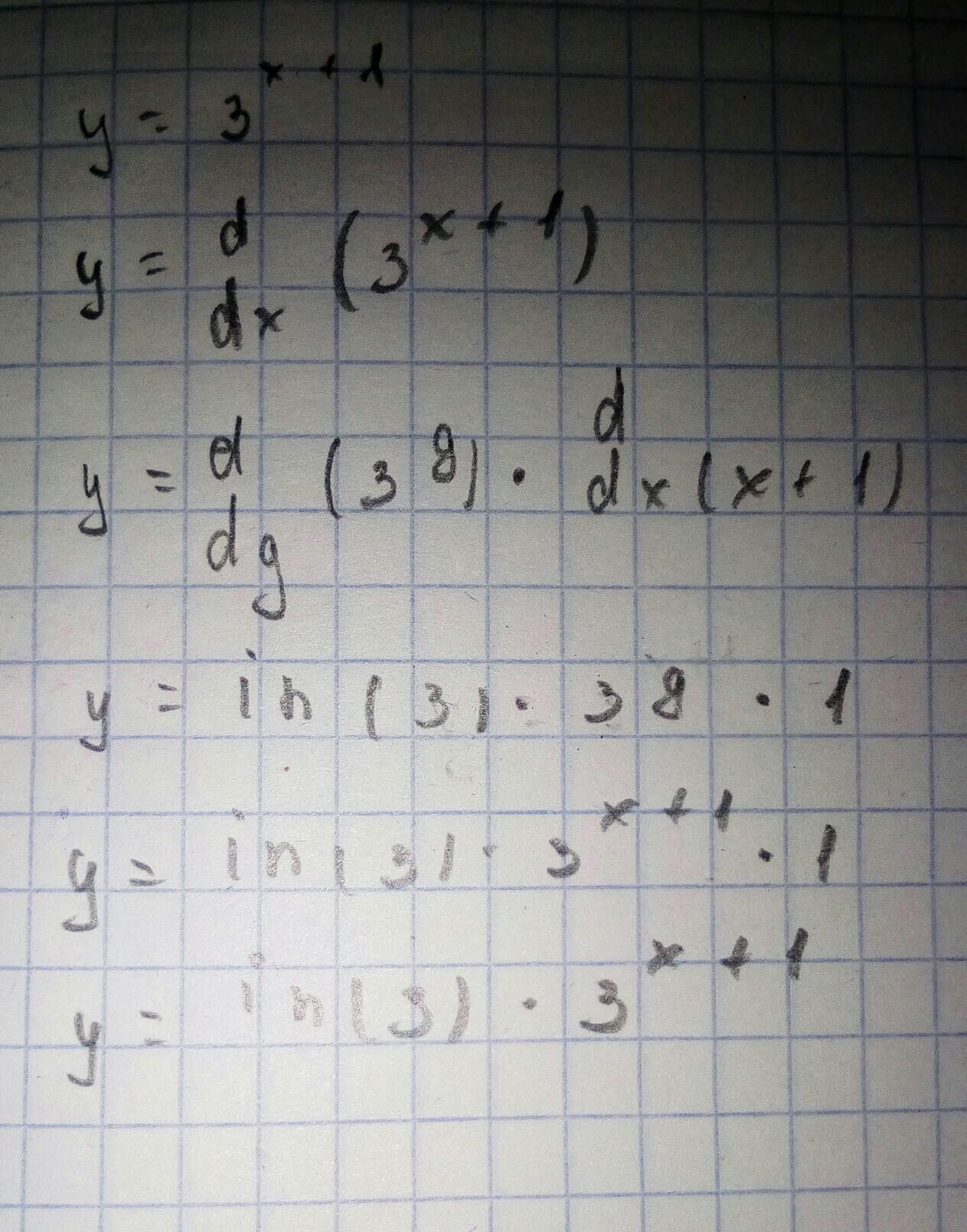
Помогите пожалуйста найти производную :)

Приложения:

Ответы

Ответ дал: nikadog41
0

Пошаговое объяснение:

1)-Найти производную функцию.

2)-Использовать правило дифференцирования сложностей функции,(f(g))=f(g),где g=x+1вычислить

3)-Найти производную, вычислить. производную суммы или разности

4)-Сделать обратную замену g=x+1

5)-Упростить выражение.

Вот и всё

Приложения:
Вас заинтересует