• Предмет: Математика
  • Автор: goshiloirina
  • Вопрос задан 2 года назад

Помогите до 10 сентября решить. Даю 27 балов (все свои бали). Прошу спасите.

Приложения:

Ответы

Ответ дал: sofiyavictoria
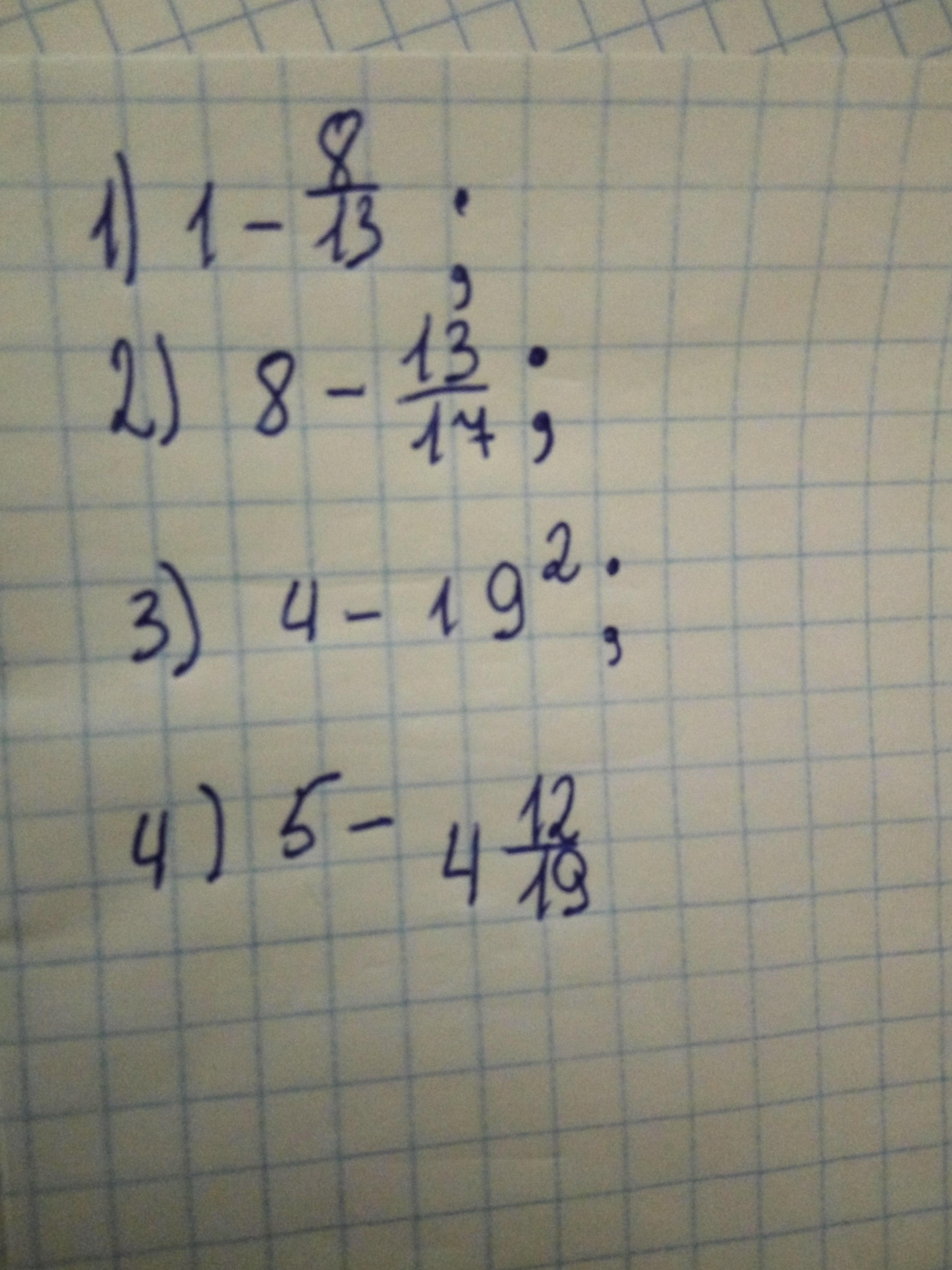
1

Ответ:

Пошаговое объяснение:

1). 1-8/13=13/13-8/13=5/13

2). 8-13/17=7 17/17-13/17=7 4/17

3). 4-19^2=4-361=357

4). 5-4 12/19= 4 19/19-4 12/19=7/19

1). 8 11/35-(х-5 8/35)=1 23/35

х-5 8/35=8 11/35-1 23/35

х-5 8/35=6 23/35

х=5 8/35+6 23/35

х=11 31/35

2). (10 4/13-х)-5 11/13=3 8/13

   10 4/13-х=5 11/13+3 8/13

    10 4/13-х=8 19/13=9 6/13

    х=10 4/13-9 6/13

    х=11/13


sofiyavictoria: подружись. они будут нужны не только в математике.
goshiloirina: Я знаю. Спасибо большое
goshiloirina: Я стараюсь их понять
goshiloirina: Я хорошистка в школе.
sofiyavictoria: дерзай, учи и все получится.
goshiloirina: Хорошо :)
goshiloirina: Прими пожалуйста заявку на дружбу
goshiloirina: Я стараюсь. Хочу быть отличницей. Нада только англиськый подтянуть и дробы выучить
goshiloirina: Без англиського не куда. Он везде нужен
goshiloirina: Спасибо. Я все разобрала. Если все запомнить то это будет легко. Спасибо ещо раз ты мне очень помогла.
Вас заинтересует