• Предмет: Алгебра
  • Автор: tvigor180
  • Вопрос задан 2 года назад

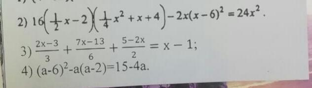
Помогите решить уравнения по алгебре 8 класс, выражения на фото

Приложения:

Ответы

Ответ дал: Аноним
0

Объяснение:

По идеи должно быть так.

Приложения:
Вас заинтересует