• Предмет: Алгебра
  • Автор: adamenkoivan566
  • Вопрос задан 2 года назад

помогите срооочно!!!! пожалуйста!

Приложения:

Ответы

Ответ дал: MizoriesKun
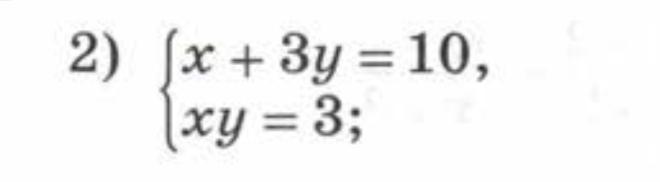
1

х=10-3у

(10-3у)*у=3

10у -3у²=3

3у²-10у+3=0

D=100-36=64

y1= (10+8)/6=3. x1=10-3*3= 1

y2=(10-8)/6 = 1/3 x2=10 -3*(1/3) =9

(1;3) ,(9; 1/3 )

Вас заинтересует