Ответы
Ответ дал:
1
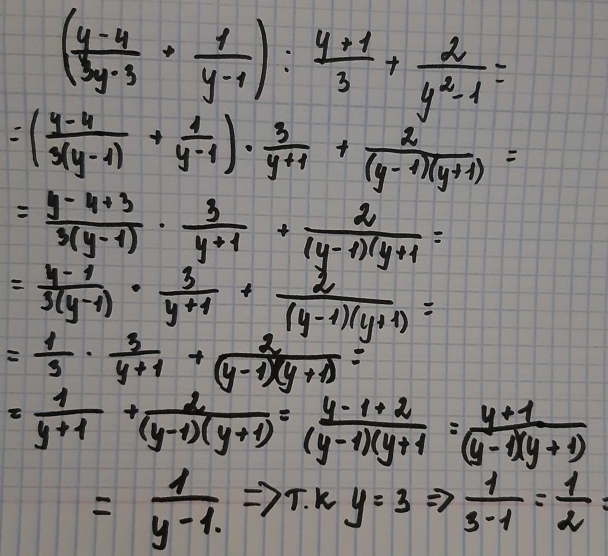
пүһвшпазныұеыщгапщро
Приложения:

VeronikaMichaelis:
Большое спасибо;3
Вас заинтересует
1 год назад
1 год назад
2 года назад
3 года назад
3 года назад
8 лет назад