Ответы
Ответ дал:
2
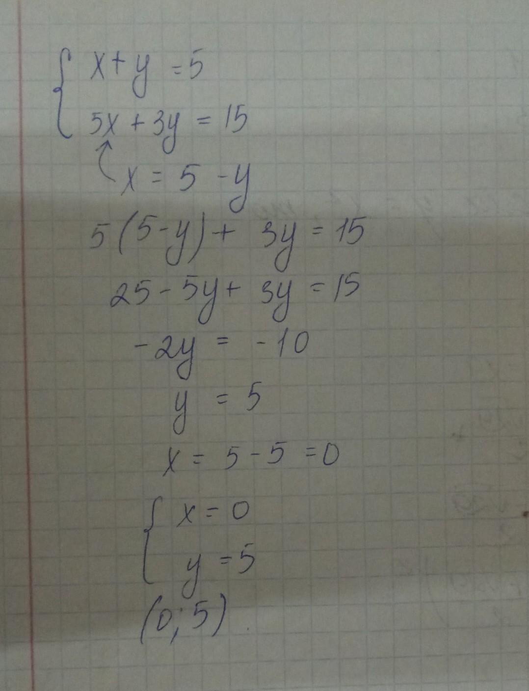
Ответ: х = 0; у = 5
Решение на фото
Приложения:

Ответ дал:
0
Ответ:
х=5-у это решение методом подстановки
5(5-у)+3у=15
25-5у+3у=15
-5у+25+3у=15 умножаем на -1
5у-25-3у=-15
2у=-15+25
2у=10
у=5
х=5-у=5-5=0
х=0
у=5
Вас заинтересует
1 год назад
2 года назад
2 года назад
3 года назад
3 года назад
8 лет назад