• Предмет: Математика
  • Автор: metlesuper
  • Вопрос задан 2 года назад

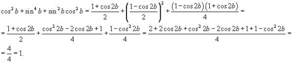
cos^2b+sin^4b+sin^2b (решить )

Ответы

Ответ дал: kirillkaBOSS1374
0

Ответ:

Вот

Пошаговое объяснение:

Приложения:

metlesuper: там еще умножение на косинус 2 б в конце !! А меня без этого
Вас заинтересует