• Предмет: Физика
  • Автор: mariaf
  • Вопрос задан 2 года назад

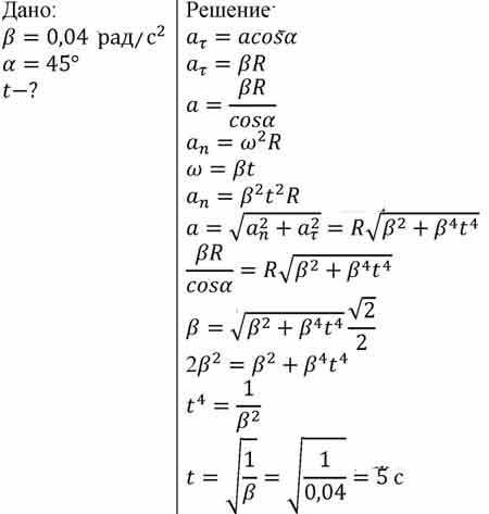
Точка начинает вращаться по окружности с постоянным ускорением 0,04рад/с^2. Через какой промежуток времени вектор ускорения будет составлять угол 45° с вектором скорости? Пожалуйста помогите. Ответ должен получиться 5 секунд

Ответы

Ответ дал: diskorddoktor
15

Ответ к заданию по физике

Приложения:
Вас заинтересует