Дам 30 баллов !!! Помогите пожалуйста
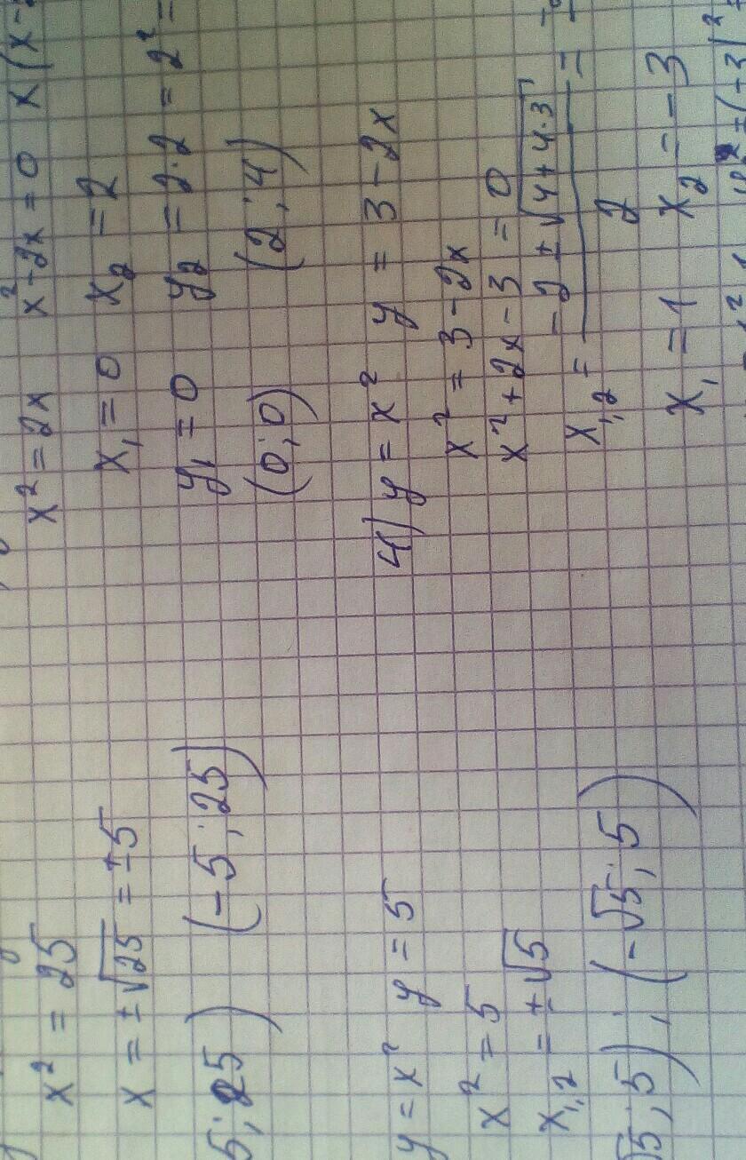
Найдите координаты точек пересечения параболы у =х в квадрате и прямой
1. у=25 3. у=5 5,у=-х
2. у=2х 4,у=3-2х 6. у=2х-1
Ответы
Ответ дал:
8
Ответ:
1) (5;25) (-5;25) 2)(0;0) (2;4)
3)(√5;5) (-√5;5) 4) (1 ;1) (-3;9)
5)(0;0) (-1;1) 6) (1;1)
Приложения:


Вас заинтересует
1 год назад
1 год назад
2 года назад
2 года назад
3 года назад
3 года назад