• Предмет: Алгебра
  • Автор: baaayaaaan
  • Вопрос задан 2 года назад

3(x+1/x^2)-7(1+1/x)=0​

Ответы

Ответ дал: elenvernied
0

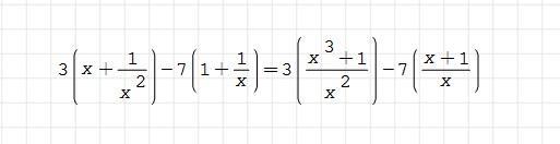
Детали на фото. 3(x+1/{x^2})-7(1+1/x)=3({x^3+1}/{x^2})-7({x+1}/x)

Приложения:
Вас заинтересует