• Предмет: Геометрия
  • Автор: ТусикиТусики
  • Вопрос задан 2 года назад

Помогите пожалуйста!
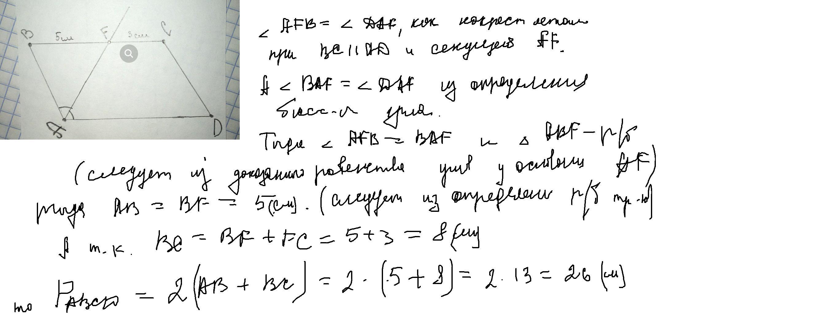
В параллелограмме ABCD проведена биссектриса угла А, которая пересекает сторону BC в точке F. Найдите периметр параллелограмма ABCD, если BF=5 см, а FC=3 см

Пожалуйста можете как можно подробней описать?

Приложения:

Ответы

Ответ дал: vikll
2

Ответ:Помогите пожалуйста!

Объяснение:

Приложения:
Ответ дал: l1zochka020206
0
Кут FAD=кут CFA при BC||AD, січна AF|=>кут BAF=кутFAD=кутCFA|=> трикутник ABF, AB=BF=5 см . Оскільки за вл. Паралелеграма AB=CD=5 см
Р =5+5+8+8=26см
Вас заинтересует