• Предмет: Алгебра
  • Автор: Nelya546
  • Вопрос задан 2 года назад

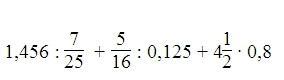
Допоможіть будь ласка, треба обчислити значення виразу
Дуже терминово!!

Приложения:

Ответы

Ответ дал: vitapo4ta
0

Ответ:

11,3

Объяснение:

или если сразу переводить в десятичные дроби

5,2+2,5+3,6=11,3

Приложения:
Вас заинтересует